plotCAParametersDistribution
[PKanalix] Distribution of the individual CA parameters
Plot the distribution of the individual CA parameters.
Usage
plotCAParametersDistribution(
parameters = NULL,
settings = list(),
preferences = list(),
stratify = list()
)
Arguments
- parameters
(vector) vector of CA parameters to display. (by default the first 12 computed ca parameters are displayed).
- settings
List with the following settings:
plot
(character) Type of plot: probability density distribution as histogram ("pdf", default), or cumulative density distribution ("cdf").legend
(logical) If TRUE, plot legend is displayed (default FALSE).grid
(logical) If TRUE, plot grid is displayed (default TRUE).ncol
(integer) number of columns to arrange subplots (default 4).fontsize
(integer) Font size of text elements (default 11).units
(logical) If TRUE, units are added in axis labels (default TRUE).scales
(character) Should scales be fixed ("fixed"), free ("free", default), or free in one dimension ("free_x", "free_y").
- preferences
(optional) preferences for plot display, run getPlotPreferences("plotCAParametersDistribution") to check available options.
- stratify
List with the stratification arguments:
groups
- Definition of stratification groups. By default, stratification groups are already defined as one group for each category for categorical covariates, and two groups of equal number of individuals for continuous covariates. To redefine groups, for each covariate to redefine, specify a list with:name character covariate name (e.g "AGE"
)definition vector(continuous) || list>(categorical) For continuous covariates, vector of break values (e.g c(35, 65)
). For categorical covariates, groups of categories as a list of vectors(e.glist(c("study101"), c("study201","study202"))
)split
(vector) - Vector of covariates used to split (i.e facet) the plot (by default no split is applied). For instancec("FORM","AGE")
.filter
(list< list> >) - List of pairs containing a covariate name and the vector of indexes or categories (for categorical covariates) of the groups to keep (by default no filtering is applied). For instance,list("AGE",c(1,3))
to keep the individuals belonging to the first and third age group, according to the definition ingroups
. For instance,list("FORM","ref")
using the category name for categorical covariates.
Value
A ggplot object if only one parameter is specified in
parameters
A TableGrob object if multiple plots (output of grid.arrange)
See also
Examples
initializeLixoftConnectors(software = "pkanalix")
project <- file.path(getDemoPath(), "/2.case_studies/project_Theo_extravasc_SD.pkx")
loadProject(project)
runCAEstimation()
# plot a single parameter, as pdf or cdf
plotCAParametersDistribution(parameters = "V", settings = list(plot = "pdf"))

plotCAParametersDistribution(parameters = "Cl", settings = list(plot = "cdf"))

# with a single parameter, a ggplot object if returned and additional ggplot elements can be added
library(ggplot2)
#> Warning: package 'ggplot2' was built under R version 4.3.3
plotCAParametersDistribution(parameters = "V")+geom_vline(xintercept=52)

# display 4 parameters in a 2x2 matrix (ncol=2)
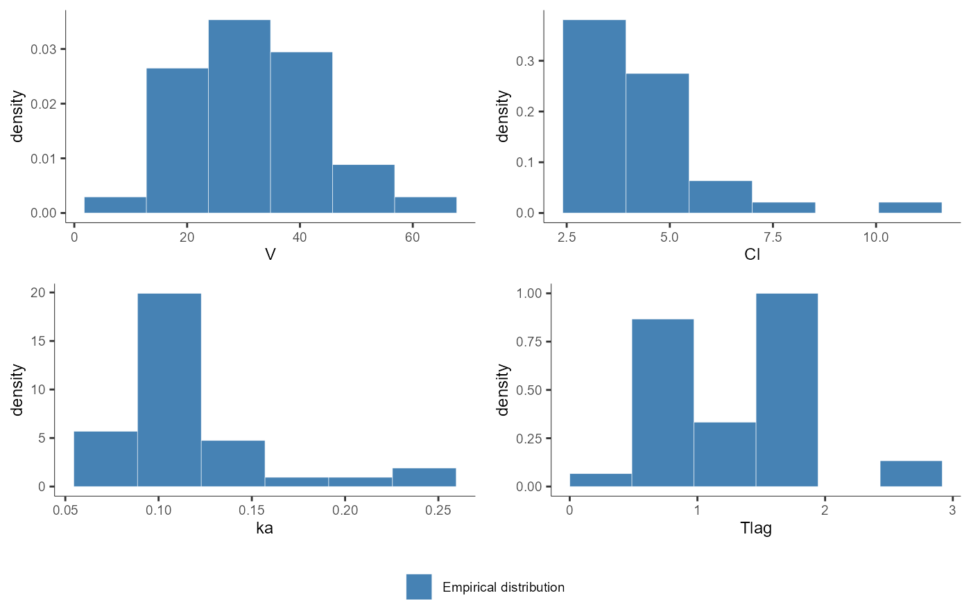
plotCAParametersDistribution(parameters = c('V','Cl','ka','Tlag'),
settings = list(ncol=2))

#> TableGrob (1 x 1) "arrange": 1 grobs
#> z cells name grob
#> 1 1 (1-1,1-1) arrange gtable[arrange]
# changing the settings to choose which elements to display
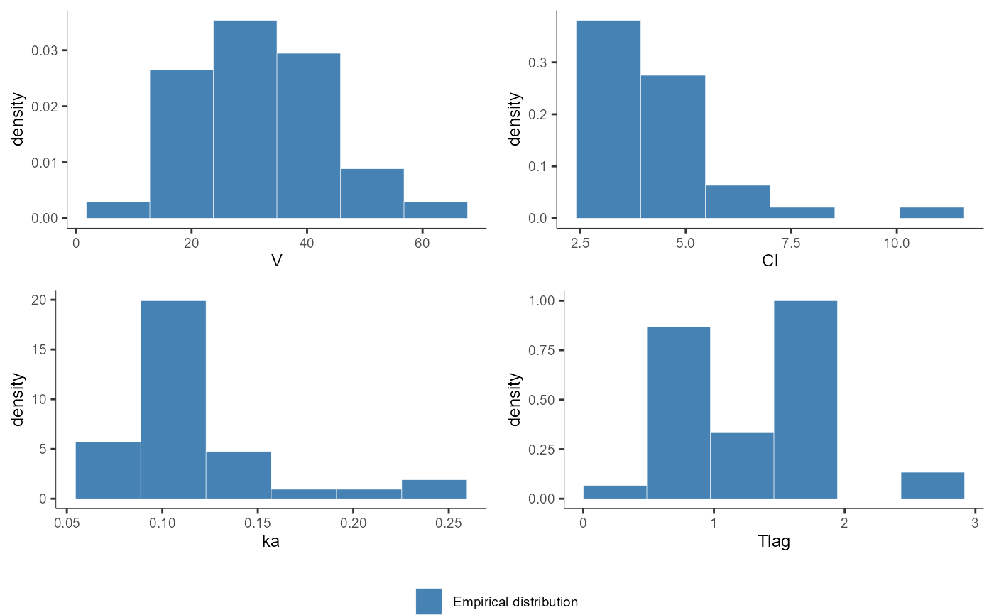
plotCAParametersDistribution(parameters = c('V','Cl','ka','Tlag'),
settings = list(ncol=2,
units=F,
legend=T,
grid=F,
fontsize=9))

#> TableGrob (2 x 1) "arrange": 2 grobs
#> z cells name grob
#> 1 1 (1-1,1-1) arrange gtable[arrange]
#> 2 2 (2-2,1-1) arrange gtable[guide-box]
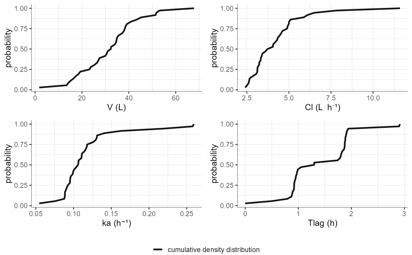
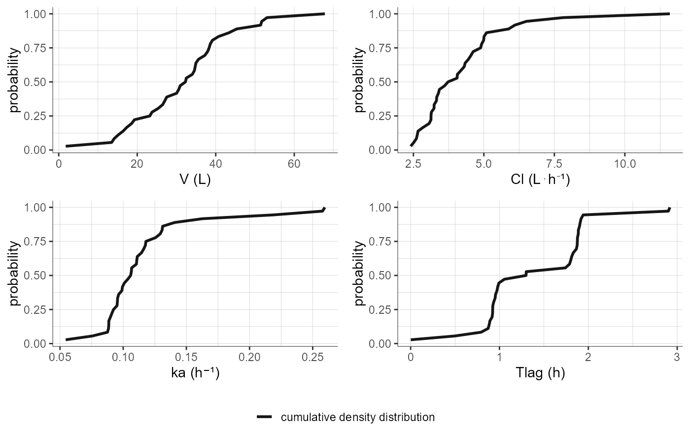
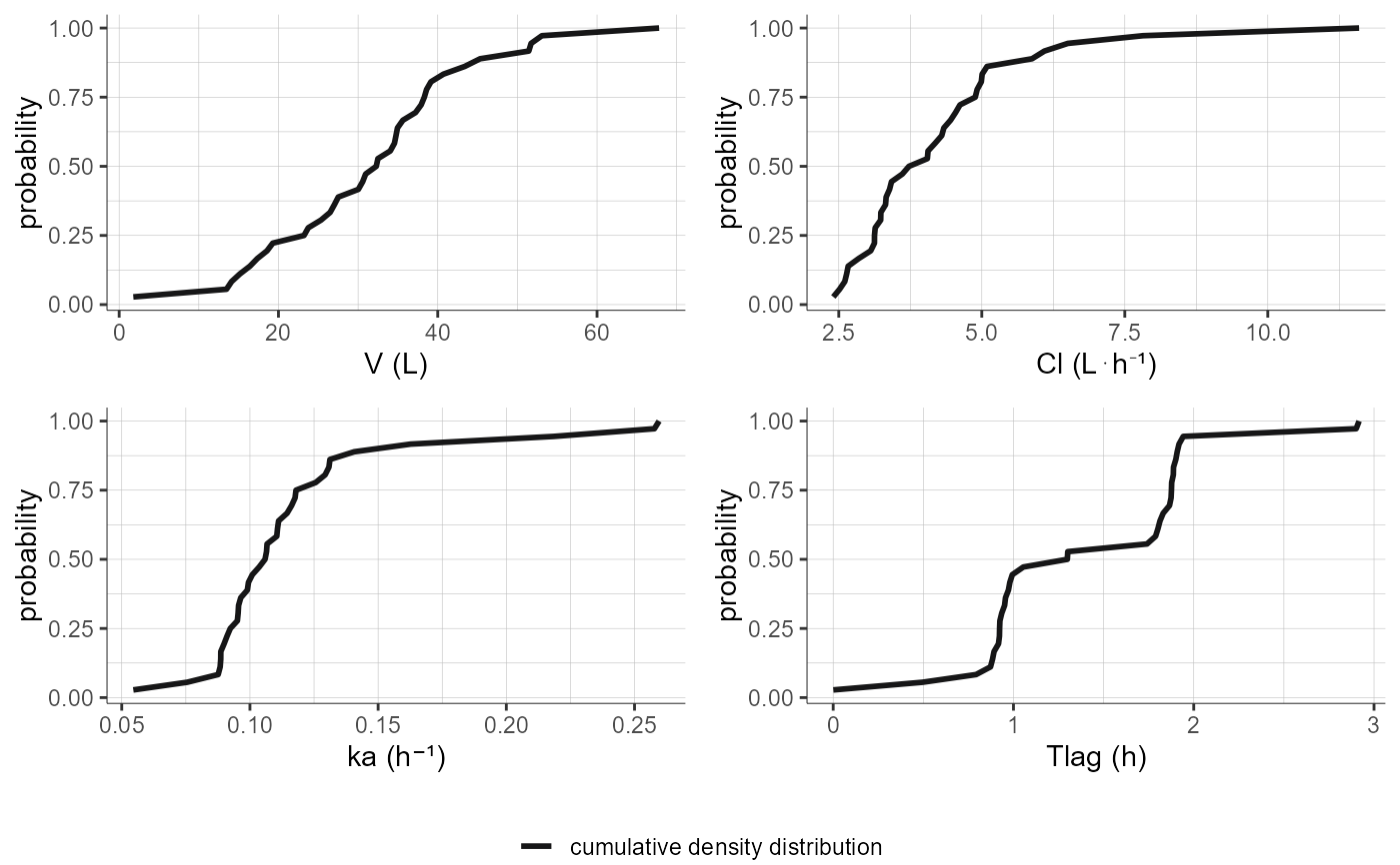
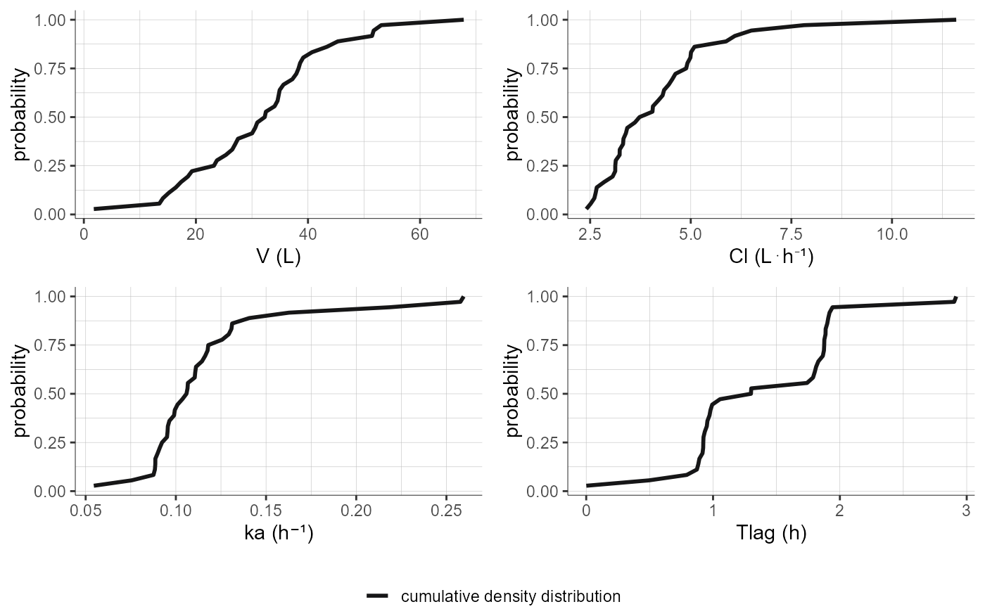
# changing the preferences (appearance of the elements) when using plot="cdf"
plotCAParametersDistribution(parameters = c('V','Cl','ka','Tlag'),
settings = list(ncol=2, legend=T, plot="cdf"),
preferences = list(empirical=list(color="#161617",
lineWidth=1,
lineType="solid",
legend="cumulative density distribution")))

#> TableGrob (2 x 1) "arrange": 2 grobs
#> z cells name grob
#> 1 1 (1-1,1-1) arrange gtable[arrange]
#> 2 2 (2-2,1-1) arrange gtable[guide-box]
# changing the preferences (appearance of the elements) when using plot="pdf"
plotCAParametersDistribution(parameters = c('V','Cl','ka','Tlag'),
settings = list(ncol=2, legend=T, plot="pdf"),
preferences = list(histogramBar=list(fill="#cdced1",
opacity=0.7,
stroke="#161617",
strokeWidth=1,
legend="probability density distribution")))

#> TableGrob (2 x 1) "arrange": 2 grobs
#> z cells name grob
#> 1 1 (1-1,1-1) arrange gtable[arrange]
#> 2 2 (2-2,1-1) arrange gtable[guide-box]
# split each plot into two subplots for FORM=ref and FORM=test
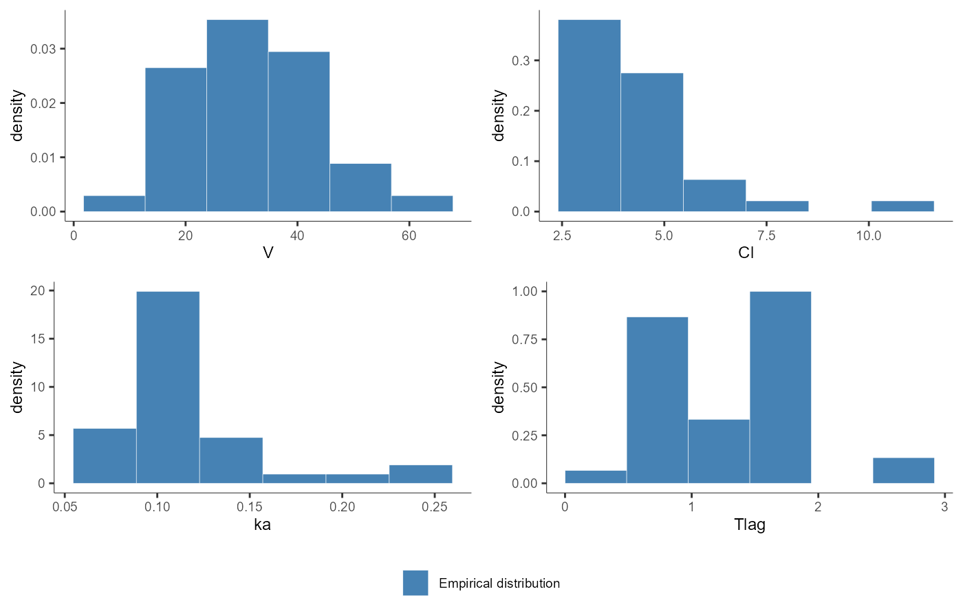
plotCAParametersDistribution(parameters = c('V','Cl','ka','Tlag'),
settings = list(ncol=2),
stratify = list(split=c("FORM")))

#> TableGrob (1 x 1) "arrange": 1 grobs
#> z cells name grob
#> 1 1 (1-1,1-1) arrange gtable[arrange]
# define groups for AGE and HT, filter by AGE and split by HT
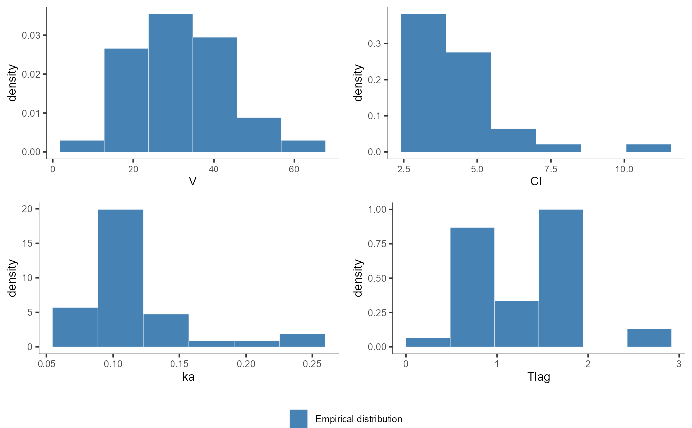
plotCAParametersDistribution(parameters = c('V','Cl','ka','Tlag'),
settings=list(ncol=2),
stratify = list(groups=list(list(name="AGE", definition=c(30, 35)),
list(name="HT", definition=c(184.5))),
filter=list("AGE",c(1,3)),
split="HT"))

#> TableGrob (1 x 1) "arrange": 1 grobs
#> z cells name grob
#> 1 1 (1-1,1-1) arrange gtable[arrange]
# filter to keep only second sequence (TR) and Period=1
plotCAParametersDistribution(parameters = c('V','Cl','ka','Tlag'),
settings=list(ncol=2),
stratify = list(filter=list(list("SEQ",2),list("Period","1"))))

#> TableGrob (1 x 1) "arrange": 1 grobs
#> z cells name grob
#> 1 1 (1-1,1-1) arrange gtable[arrange]