MonolixSuite in R
Breadcrumbs

plotIndividualFits

[Monolix] Plot Monolix Individual Fits

Plot the individual fits.

Usage

R
plotIndividualFits(
  obsName = NULL,
  settings = list(),
  preferences = list(),
  stratify = list()
)

Arguments

obsName (character) Name of the observation (in dataset header). By default the first observation is considered. settings List with the following settingsindivEstimate (character) Calculation of individual estimates: conditional mean ("mean"), conditional mode with EBE's ("mode") (default "mode") . obsDots (logical) - If TRUE individual observations are displayed as dots (default TRUE). obsLines (logical) - If TRUE individual observations are displayed as lines (default FALSE). cens (logical) - If TRUE censored intervals are displayed (default TRUE). indivFits (logical) - If TRUE individual fits are displayed (default TRUE). popFits (logical) - If TRUE population fits (typical individual) are displayed (default FALSE). popCov (logical) - If TRUE population fits (individual covariates) are displayed (default FALSE). predMedian (logical) - If TRUE median of individual fits computed based on multiple simulations (default FALSE). predInterval (logical) - If TRUE 90 % prediction interval of individual fits computed based on multiple simulations (default FALSE). splitOccasions (logical) - If TRUE occasions are displayed on separate plots (default TRUE). dosingTimes (logical) - Add dosing times as vertical lines (default FALSE). legend (logical) add (TRUE) / remove (FALSE) plot legend (default FALSE). grid (logical) add (TRUE) / remove (FALSE) plot grid (default TRUE). xlog (logical) add (TRUE) / remove (FALSE) log scaling on x axis (default FALSE). ylog (logical) add (TRUE) / remove (FALSE) log scaling on y axis (default FALSE). xlab (character) label on x axis (default "Time"). ylab (character) label on y axis (default obsName). ncol (integer) number of columns when facet = TRUE (default 4). xlim (c(double, double)) limits of the x axis. ylim (c(double, double)) limits of the y axis. fontsize (integer) Plot text font size. scales (character) Should scales be fixed ("fixed"), free ("free", the default), or free in one dimension ("free_x", "free_y") (default "free"). preferences (optional) preferences for plot display, run getPlotPreferences("plotIndividualFits") to check available displays. stratify List with the stratification arguments:groups - Definition of stratification groups. By default, stratification groups are already defined as one group for each category for categorical covariates, and two groups of equal number of individuals for continuous covariates. To redefine groups, for each covariate to redefine, specify a list with:namecharactercovariate name (e.g "AGE")definition(vector(continuous) || list>(categorical))For continuous covariates, vector of break values (e.g c(35, 65)). For categorical covariates, groups of categories as a list of vectors(e.g list(c("study101"), c("study201","study202"))) filter (list< list> >) - List of pairs containing a covariate name and the vector of indexes or categories (for categorical covariates) of the groups to keep (by default no filtering is applied). For instance, list("AGE",c(1,3)) to keep the individuals belonging to the first and third age group, according to the definition in groups. For instance, list("FORM","ref") using the category name for categorical covariates. color (vector) - Vector of covariates used for coloring (by default no coloring is applied). For instance c("FORM","AGE"). colors - Vector of colors to use when color argument is used. Takes precedence over colors defined in preferences. For instance c("#ebecf0","#cdced1","#97989c"). individualSelection - Ids to display (by default the 12 first ids are displayed) defined as:indices (vector) - Indices of the individuals to display (by default, the 12 first individuals are selected). If occasions are present, all occasions of the selected individuals will be displayed. Takes precedence over ids. For instance c(5,6,10,11). isRange (logical) - If TRUE, all individuals whose index is inside [min(indices), max[indices]] are selected (FALSE by default). Forced to FALSE if ids is defined. ids (vector) - Names of the individuals to display. If occasions are present, all occasions of the selected individuals will be displayed. For instance c("101-01","101-02","101-03"). If ids are integers, can also be c(1,3,6). Ignored if indices is defined.

Value

A ggplot object

Details

Only available for Continuous data.

See also

getChartsData getPlotPreferences

Examples

R
  initializeLixoftConnectors(software = "monolix")
  project <- file.path(getDemoPath(), "1.creating_and_using_models",
                       "1.1.libraries_of_models", "theophylline_project.mlxtran")
  loadProject(project)

  runPopulationParameterEstimation()
  runConditionalDistributionSampling()
  runConditionalModeEstimation()

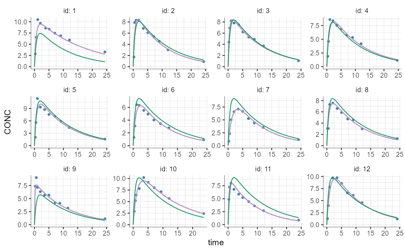
  plotIndividualFits()
#> Warning: No shared levels found between `names(values)` of the manual scale and the
#> data's fill values.
#> Warning: No shared levels found between `names(values)` of the manual scale and the
#> data's linetype values.

plotIndividualFits-1.png
R


  plotIndividualFits(settings=list(popFits = T))
#> Warning: No shared levels found between `names(values)` of the manual scale and the
#> data's fill values.
#> Warning: No shared levels found between `names(values)` of the manual scale and the
#> data's linetype values.

plotIndividualFits-2.png
R

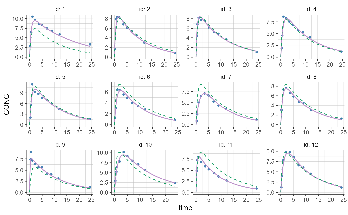
  plotIndividualFits(settings=list(obsLines = T, obsDots = F, predInterval = T))
#> Warning: No shared levels found between `names(values)` of the manual scale and the
#> data's linetype values.

plotIndividualFits-3.png
R

  plotIndividualFits(settings=list(dosingTimes = T))
#> Warning: No shared levels found between `names(values)` of the manual scale and the
#> data's fill values.
#> Warning: No shared levels found between `names(values)` of the manual scale and the
#> data's linetype values.

plotIndividualFits-4.png
R


  # stratification options
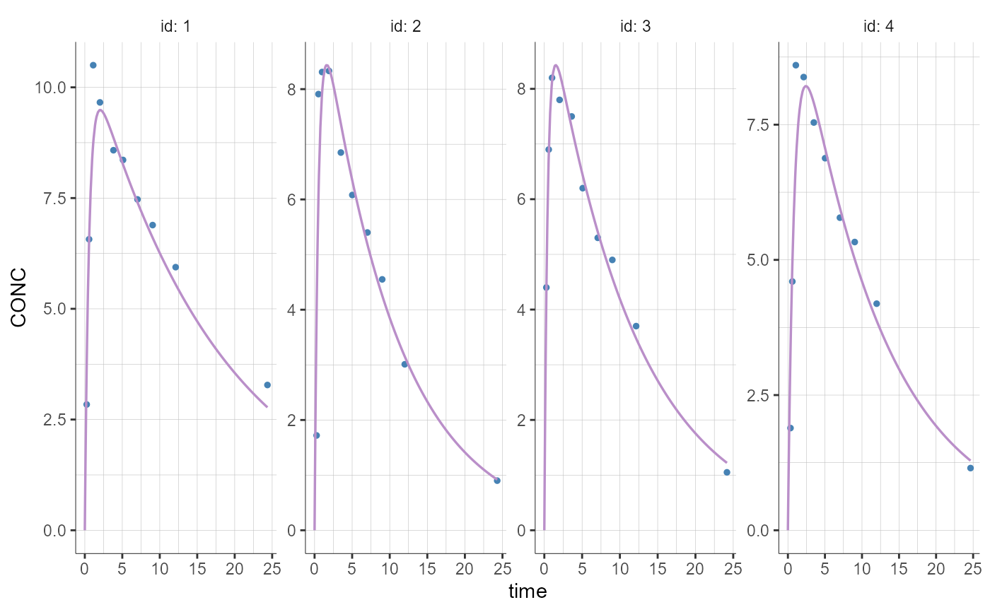
  plotIndividualFits(stratify = list(individualSelection = list(ids = c(1, 2, 3, 4))))
#> Warning: No shared levels found between `names(values)` of the manual scale and the
#> data's fill values.
#> Warning: No shared levels found between `names(values)` of the manual scale and the
#> data's linetype values.

plotIndividualFits-5.png
R

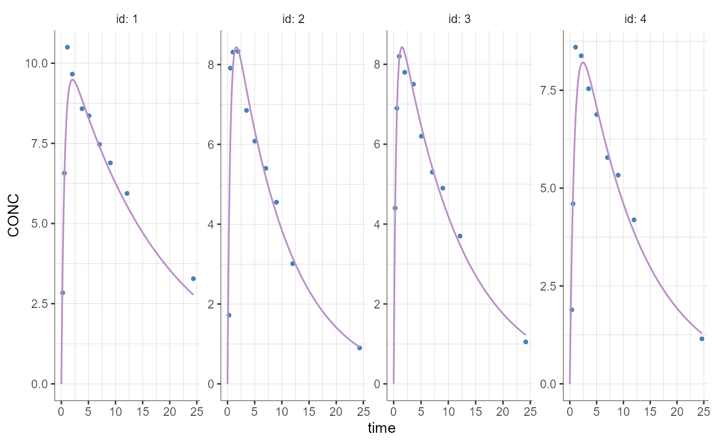
  plotIndividualFits(stratify = list(individualSelection = list(indices = c(1, 4), isRange = TRUE)))
#> Warning: No shared levels found between `names(values)` of the manual scale and the
#> data's fill values.
#> Warning: No shared levels found between `names(values)` of the manual scale and the
#> data's linetype values.

plotIndividualFits-6.png
R

  plotIndividualFits(stratify = list(filter = list("WEIGHT", 2),
                                     groups = list(name = "WEIGHT", definition = c(60, 75))))
#> Warning: No shared levels found between `names(values)` of the manual scale and the
#> data's fill values.
#> Warning: No shared levels found between `names(values)` of the manual scale and the
#> data's linetype values.

plotIndividualFits-7.png
R

  plotIndividualFits(stratify = list(filter = list("SEX", "F")))
#> Warning: No shared levels found between `names(values)` of the manual scale and the
#> data's fill values.
#> Warning: No shared levels found between `names(values)` of the manual scale and the
#> data's linetype values.

plotIndividualFits-8.png
R

  plotIndividualFits(stratify = list(color = "SEX",
                                     colors=c("#5DC088", "#DBA92B")))
#> Warning: No shared levels found between `names(values)` of the manual scale and the
#> data's fill values.

plotIndividualFits-9.png
R

  plotIndividualFits(settings = list(legend = T),
                     stratify = list(color = c("SEX", "WEIGHT"),
                                     groups = list(name = "WEIGHT", definition = 70)))
#> Warning: No shared levels found between `names(values)` of the manual scale and the
#> data's fill values.

plotIndividualFits-10.png
R


  # settings and preferences options
  plotIndividualFits(settings = list(ylog = T, ylim = c(0.8, 11)))
#> Warning: No shared levels found between `names(values)` of the manual scale and the
#> data's fill values.
#> Warning: No shared levels found between `names(values)` of the manual scale and the
#> data's linetype values.

plotIndividualFits-11.png
R

  preferences <- list(popFits = list(lineType = "solid", legend = "Population fits"))
  plotIndividualFits(settings = list(popFits = T), preferences = preferences)
#> Warning: No shared levels found between `names(values)` of the manual scale and the
#> data's fill values.
#> Warning: No shared levels found between `names(values)` of the manual scale and the
#> data's linetype values.

plotIndividualFits-12.png
R