MonolixSuite in R
Breadcrumbs

plotBESubjectByFormulation

[PKanalix] Plot subject-by-formulation

Plot the Bioequivalence parameters as Subject-by-formulation.

Usage

R
plotBESubjectByFormulation(
  parameters = NULL,
  formulations = NULL,
  settings = list(),
  preferences = NULL,
  stratify = list()
)

Arguments

parameters (vector) vector of NCA parameters (included in BE calculations) to display. (by default the first 4 computed parameters are displayed). formulations (vector) vector of test (i.e non-ref) formulations to display. (by default the first 4 test formulations are displayed). settings List with the following settings:dots (logical) If TRUE, NCA parameters are displayed as dots (default TRUE). lines (logical) If TRUE, NCA parameters belonging to the same individual are connected by lines (default TRUE). legend (logical) If TRUE, plot legend is displayed (default FALSE). grid (logical) If TRUE, plot grid is displayed (default TRUE). ylog (logical) If TRUE, log-scale on y axis is used (default TRUE). ncol (logical) Number of columns to arrange the subplots (default 4). fontsize (integer) Font size of text elements (default 11). units (logical) If TRUE, units are added in axis labels (default TRUE). preferences (optional) preferences for plot display, run getPlotPreferences("plotBESubjectByFormulation") to check available options. stratify List with the stratification arguments:groups - Definition of stratification groups. By default, stratification groups are already defined as one group for each category for categorical covariates, and two groups of equal number of individuals for continuous covariates. To redefine groups, for each covariate to redefine, specify a list with:namecharactercovariate name (e.g "AGE")definitionvector(continuous) || list>(categorical)For continuous covariates, vector of break values (e.g c(35, 65)). For categorical covariates, groups of categories as a list of vectors(e.g list(c("study101"), c("study201","study202"))) split (vector) - Vector of covariates used to split (i.e facet) the plot (by default no split is applied). For instance c("FORM","AGE"). filter (list< list> >) - List of pairs containing a covariate name and the vector of indexes or categories (for categorical covariates) of the groups to keep (by default no filtering is applied). For instance, list("AGE",c(1,3)) to keep the individuals belonging to the first and third age group, according to the definition in groups. For instance, list("FORM","ref") using the category name for categorical covariates.

Value

  • A ggplot object if only one parameter is given in parameters

  • A TableGrob object if multiple plots (output of grid.arrange)

See also

getPlotPreferences

Examples

R
initializeLixoftConnectors(software = "pkanalix")
project <- file.path(getDemoPath(), "/3.bioequivalence/project_crossover_bioequivalence.pkx")
loadProject(project)
runNCAEstimation()
runBioequivalenceEstimation()

# display by default
plotBESubjectByFormulation()

plotBESubjectByFormulation-1.png
R

#> TableGrob (1 x 1) "arrange": 1 grobs
#>   z     cells    name            grob
#> 1 1 (1-1,1-1) arrange gtable[arrange]

# select only a subplot of parameters used for BE analysis
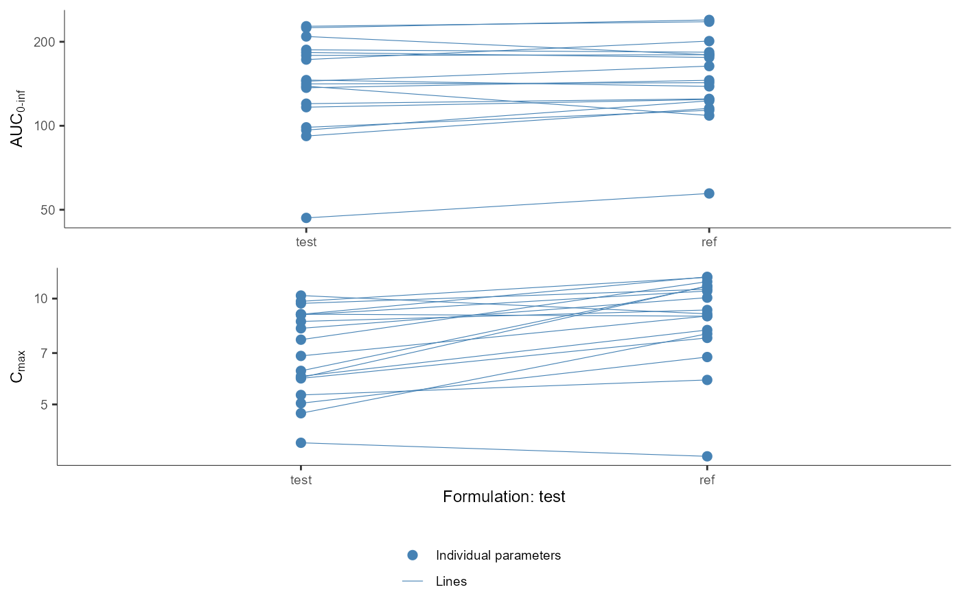
# if several test formulations are compared w.r.t a reference formulation, it is also possible to select which test formulation to display
plotBESubjectByFormulation(parameters = c("AUCINF_obs","Cmax"),
                           formulations = c("test"))

plotBESubjectByFormulation-2.png
R

#> TableGrob (1 x 1) "arrange": 1 grobs
#>   z     cells    name            grob
#> 1 1 (1-1,1-1) arrange gtable[arrange]

# changing the settings
plotBESubjectByFormulation(parameters = c("AUCINF_obs","Cmax"),
                           settings=list(dots=T,
                                         lines=T,
                                         legend=T,
                                         grid=F,
                                         ylog=T,
                                         units=F,
                                         fontsize=9))

plotBESubjectByFormulation-3.png
R

#> TableGrob (2 x 1) "arrange": 2 grobs
#>   z     cells    name              grob
#> 1 1 (1-1,1-1) arrange   gtable[arrange]
#> 2 2 (2-2,1-1) arrange gtable[guide-box]

# changing the preferences
plotBESubjectByFormulation(parameters = c("AUCINF_obs","Cmax"),
                           settings=list(legend=T),
                           preferences = list(formulationDot=list(color="#202120",
                                                                  radius=4,
                                                                  shape=18,
                                                                  legend="NCA parameter for each formulation"),
                                              formulationLine=list(color="#202120",
                                                                   lineWidth=0.5,
                                                                   lineType="dashed",
                                                                   legend="Individuals")))

plotBESubjectByFormulation-4.png
R

#> TableGrob (2 x 1) "arrange": 2 grobs
#>   z     cells    name              grob
#> 1 1 (1-1,1-1) arrange   gtable[arrange]
#> 2 2 (2-2,1-1) arrange gtable[guide-box]


# define groups of WT and split by WT
plotBESubjectByFormulation(parameters = c("AUCINF_obs","Cmax"),
                           stratify=list(groups=list(name="WT", definition=c(70)),
                                         split=c("WT")))

plotBESubjectByFormulation-5.png
R

#> TableGrob (1 x 1) "arrange": 1 grobs
#>   z     cells    name            grob
#> 1 1 (1-1,1-1) arrange gtable[arrange]

# define groups of AGE and WT and filter by AGE and WT
plotBESubjectByFormulation(parameters = c("AUCINF_obs","Cmax"),
                           stratify=list(groups=list(list(name="WT", definition=c(70)),
                                                     list(name="AGE", definition=c(24,34))),
                                         filter=list(list("AGE",c(1,3)),
                                                     list("WT",2))))

plotBESubjectByFormulation-6.png
R

#> TableGrob (1 x 1) "arrange": 1 grobs
#>   z     cells    name            grob
#> 1 1 (1-1,1-1) arrange gtable[arrange]